Cristina Pérez Ramírez

Universidad de Granada | Escuela de Posgrado | Administración electrónica

Buscar

Cristina Pérez Ramírez

Descargar versión en PDF
  • Premio Extraordinario de Doctorado 2016-17 (Ciencias de la Salud)

MARCADORES GENÉTICOS IMPLICADOS EN LA RESPUESTA Y TOXICIDAD DE LOS FÁRMACOS UTILIZADOS EN PACIENCIENTES CON CÁNCER DE PULMÓN NO MICROCÍTICO

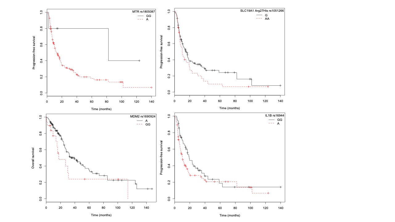
Resultados_Tesis Doctoral

Resumen

Actualmente el cáncer de pulmón es un serio problema sanitario ya que es la principal causa de muerte relacionada con cáncer en el mundo. Existen dos tipos principales de cáncer de pulmón: El carcinoma de células pequeñas o microcícito, (≈20%; SCLC, por sus siglas en inglés Small Cell Lung Cancer) y carcinoma no microcítico (≈80%; NSCLC, por sus siglas en inglés Non-Small Cell Lung Cancer). El tratamiento estándar para el NSCLC en estadio temprano es la cirugía. Antes de someterse a cirugía, los pacientes suelen ser tratados con quimioterapia basada en platino para reducir el tamaño o la extensión del cáncer, lo que facilita el procedimiento y el éxito de la cirugía (quimioterapia neoadyuvante). Después de la cirugía, los pacientes con alto riesgo de recurrencia son tratados con quimioterapia basada en platino para maximizar la efectividad de la cirugía (quimioterapia adyuvante). La quimioterapia basada en platino sigue siendo el tratamiento de elección para el NSCLC en estadio avanzado. Aunque la quimioterapia basada en platino mejora la supervivencia en comparación con el mejor tratamiento de soporte, la tasa de respuesta global es de aproximadamente 13-47.2%. Factores genéticos como polimorfismos de un solo nucleótido (SNPs) han demostrado estar asociados con diferencias interindividuales en la respuesta y la supervivencia en pacientes con NSCLC. Del mismo modo, el perfil de toxicidad varía de persona a persona y varios estudios han descrito que estas diferencias entre individuos pueden deberse a factores genéticos. En la presente tesis doctoral se describe la influencia de los marcadores genéticos como marcadores pronósticos y predictivos en pacientes diagnosticados con NSCLC y tratados con quimioterapia basada en platino. Los resultados de esta tesis doctoral mostraron que los genotipos GG para ERCC1 C8092A y XRCC1 Gln399Arg se asociaban con una mejor tasa de respuesta global en pacientes con NSCLC. Asimismo, observamos que los pacientes con NSCLC que portaban el genotipo GG para MDM2 rs1690924 presentaban mayor riesgo de muerte. De la misma forma, los alelos A para IL1B rs1694 y MTR rs1805087 y el genotipo AA para SLC19A1 Arg27His se asociaron con mayor riesgo de progresión en NSCLC. Con respecto a la toxicidad, encontramos que los pacientes con el alelo T para ERCC1 C118T y el genotipo CC para ERCC2 rs50872 tenían mayor riesgo de toxicidad general para la quimioterapia basada en platinos. Además, el alelo G para ERCC2 Asp312Asn, el genotipo GG para ABCB1 C1236T y los genotipos CT/TT para IL1B rs12621220 confirieron un mayor riesgo de presentar múltiples reacciones adversas en NSCLC. En último lugar, el genotipo CC para ERCC2 rs50872 y el alelo T para IL16 rs7170924 se asociaron con toxicidad hematológica grado 3-4 en NSCLC.

Algunas aportaciones importantes

Pharmacogenetic predictors of toxicity to platinum based chemotherapy in non-small cell lung cancer patients. Pérez-Ramírez C, Cañadas-Garre M, Alnatsha A, Villar E, Delgado JR, Faus-Dáder MJ, Calleja-Hernández MA. Pharmacol Res. 2016 Sep;111:877-884. doi: 10.1016/j.phrs.2016.08.002.

Interleukins as new prognostic genetic biomarkers in non-small cell lung cancer. Pérez-Ramírez C, Cañadas-Garre M, Alnatsha A, Molina MÁ, Robles AI, Villar E, Delgado JR, Faus-Dáder MJ, Calleja-Hernández MÁ. Surg Oncol. 2017 Sep;26(3):278-285. doi: 10.1016/j.suronc.2017.05.004. Epub 2017 May 22.

Pharmacogenetics of platinum-based chemotherapy: impact of DNA repair and folate metabolism gene polymorphisms on prognosis of non-small cell lung cancer patients. Pérez-Ramírez C, Cañadas-Garre M, Alnatsha A, Villar E, Valdivia-Bautista J, Faus-Dáder MJ, Calleja-Hernández MÁ. Pharmacogenomics J. 2019 Apr;19(2):164-177. doi: 10.1038/s41397-018-0014-8.